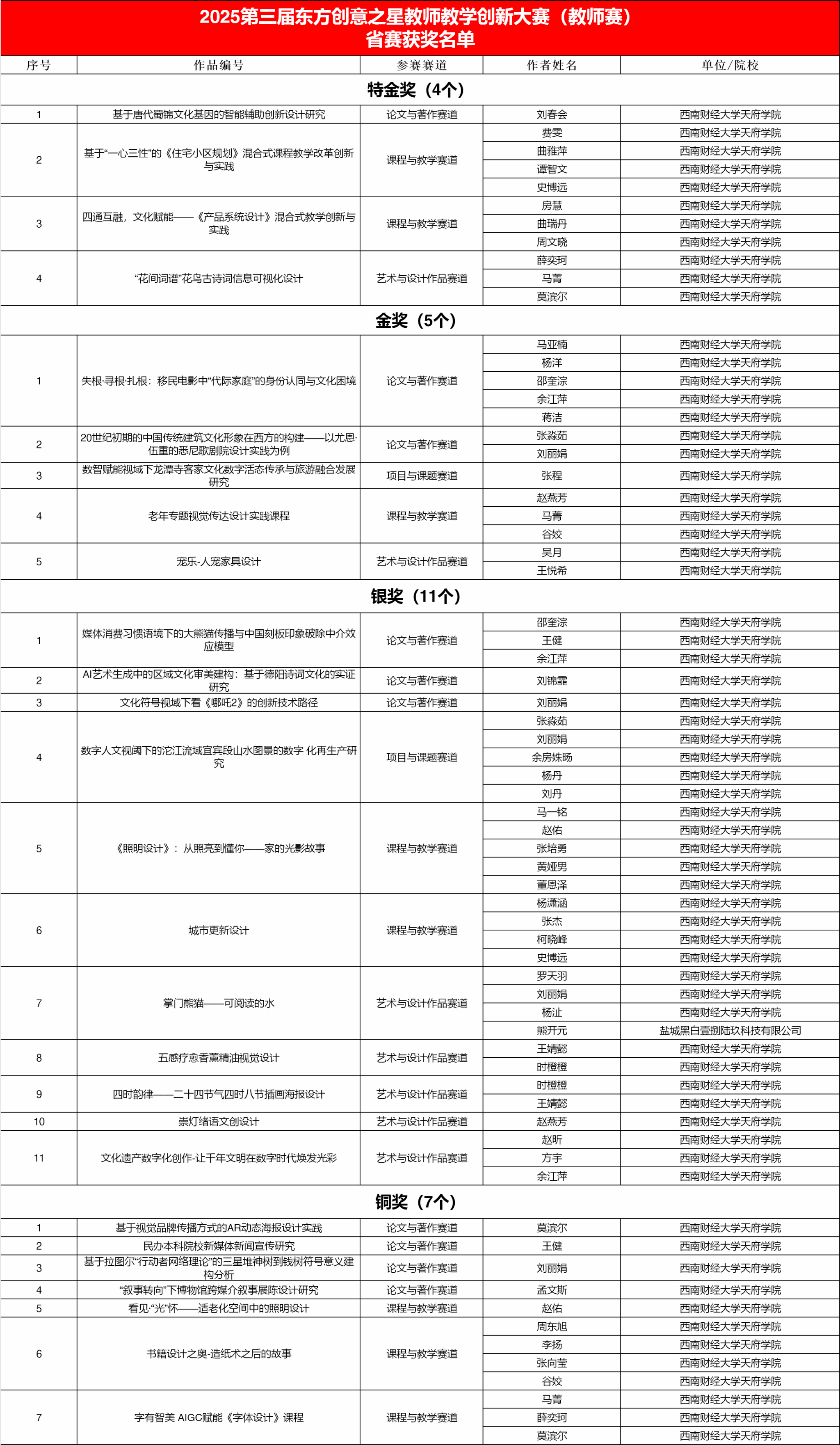
2025第三届东方创意之星教师教学创新大赛(教师赛)国赛获奖名单于近日公告出炉,西南财经大学天府学院艺术与传媒学院积极参赛,最终荣获金奖2项,银奖3项,铜奖4项,省赛(四川赛区)特金奖4项,金奖5项,银奖11项,铜奖7项。
学校高度重视教师教学竞赛的开展,倡导将竞赛中的优秀成果与经验融入到课程教学中,形成“以赛促教,以赛促学,以赛促创、以赛促产”的良性循环。通过教学竞赛,教师们不仅能够提炼与展示日常教学中的实践经验和创新理念,还能在与同行的交流中拓宽视野、汲取新知,从而实现自我超越与成长,进一步提高课程教学效果和教学质量。此次获奖,不仅展现了学校艺术与传媒学院教师优秀的专业能力,更是对学院持续推动竞赛与教学融合战略的肯定。后续学院将进一步采取措施,巩固并扩大这一成果的影响。
艺术与传媒学院院长李文波表示,此次获奖是对学院数智教育改革成果的肯定,同时也为未来的发展提供了动力,学院将持续推进产业高质量发展,赋能高校人才培养与成果转化深入融入人才培养的各个环节,为教育的高质量发展注入新的活力。
东方创意之星设计大赛是由工业和信息化部国际经济技术合作中心批复举办的工业设计领域竞赛。大赛持续推进赛制优化,强化“跨学科融合创新、产教研融合创新、国际化融合创新”三位一体的“融合创新”特色,打造创新设计品牌赛事,逐步扩大与地方政府、产业、院校的交流合作,探索设计驱动校企政协同创新发展之路。目前,大赛获得了国内高校及企事业机构的广泛认可,教师赛连续被纳入《普通高校教师教学发展指数》(2022版、2023版、2024版)高校教师教学竞赛目录,大赛已被引入国家社科基金项目《设计产业化理论研究及实践》成果。



艺术与传媒学院:史博远
初审:谭智文
复审:王健
终审:何思敏
2025年12月7日

校历
融合门户
天府云平台
切换到旧版
2025-12-09